반응형

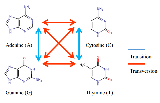
핵산 염기의 변화는 위와 같이 총 6가지 형태로 되어집니다.
이러한 정보를 봤을때 들었던 생각은 Transversion이 좀 더 많이 일어날텐데 실제로 그럴까? 라는 생각과
Transition과 Transversion사이에 synonymous, nonsysnonymous의 빈도가 얼마나 차이가 날까? 라는 생각이 들었습니다.
물론! 내가 생각한 것들은 다른 학자들이 연구를 했을 가능성이 높죠! 그래서 찾아보니!
가지의 수를 보면 확률적으로 Transversion이 더 많이 발생해야하지만, 실제로는 그렇지 않습니다.
A - G 혹은 C - T의 변화가 더 많이 관찰되어집니다. (연구로는 절반 이상?!, 나중에 연구 논문 첨가 하겠습니다.)
Transition의 경우 Silent 변이에서 더 많이 발견되었고, Transversion의 경우 Missense 변이에서 더 많이 발견되었습니다. (Silent 변이의 경우 synonymous, Missense 변이의 경우 nonsynonymous)
유용하셨거나, 잘 보셧다면 주변 광고 한번씩만 클릭 부탁드립니다! 감사합니다!
728x90
반응형
'기본적인 개념' 카테고리의 다른 글
| MAF란? (Minor Allele Frequency) (0) | 2021.02.01 |
|---|---|
| [Mysql] Mysql 기본 명령어 (0) | 2020.10.06 |
| [기본개념] Variant Calling 할때 주의점 (0) | 2020.08.07 |
| [기본개념] 분석시 참고 자료 (0) | 2020.06.17 |
| [기본개념] 시퀀싱 파일이름 의미! (0) | 2020.06.08 |
댓글